Home Normal Version
IE Version
Search | BBS | Guest Book | Site Map | Help | Contact us | About us
Light version

Listen to what we say
Download RealPlayer

[Index]

   Introduction
   Essence
   Memorizing
   Understanding
   Summarizing
   Examples
   Exercises
   Final thoughts
     

2. What is the essence of verifying an identity?

The purpose of verifying an identity is to prove that the two sides of the equation are equal. If the two sides are the same, we need to verify nothing. When an identity needs to be proved, the two sides of the equal sign have to be formally different. The first and most essential thing to do in this situation is to identify the differences between the two sides. It is guaranteed in here that there are only three differences or less between the two sides: functions are different, operations are different, and angles are different. To see what finding the differences means, let's see a couple of examples.

Verify the followings:

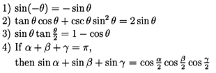
2_01.gif (10170 bytes)

In example 1, there are no differences of functions or operations because both sides have sine functions and multiplication operations, if looking 2_02.gif (1353 bytes) as the product of 2_03.gif (1458 bytes). There is a difference of angles since the left side has theta_n.gif (953 bytes) radians and the right side has theta.gif (880 bytes) radians. This problem has only difference of angles out of the three differences that were stated.

In example 2, first of all we see the difference of functions. The left side has tangent, cosine, cosecant, and sine functions while the right side has only the sine function. Then there is a difference of operations of having addition on the left side and multiplication on the right. The angles on both sides are both theta.gif (880 bytes) radians, so we can say that there is no difference of angles. This second problem has two out of the three differences that were stated.

In example 3, there are all kinds of differences. There is difference of functions since the left side has sine and tangent functions while the right side has cosine function. There is also difference of operations because the left side is multiplication and the right side is subtraction. Finally, there is difference of angles. The left side has angles of theta.gif (880 bytes) and theta_2.gif (965 bytes) radians, and the right side has an angle of theta.gif (880 bytes) radians. This problem has all three differences that were stated.

In example 4, again we have all kinds of differences. Differences of functions: sine functions on left and cosine functions on right, difference of operations: addition on the left and multiplication on the right, difference of angles, angles of alpha.gif (882 bytes), beta.gif (897 bytes), and gamma.gif (919 bytes) radians on the left, and angles of alpha_2.gif (919 bytes), beta_2.gif (971 bytes), and gamma_2.gif (947 bytes) on the right. This problem also has all three differences.

From the four examples above, we had an identity with one difference, one with two differences, and two with three differences. There is never going to be an identity with more than three differences, at least not that we know of, and it is very important to keep that in mind. We like to say that the process of verifying an identity is just the process of reducing the three differences between the two sides. It really is the essence of verifying an identity. If all of the differences between the two sides are gone, then the process of verifying the identity is finished.

We know that the process of verifying an identity is also the process of using some basic formulas to transform one side of the identity to another side. The key of using all formulas is good memorizing, and understanding all the formulas.

     
  

Previous | Top | Next

  

LWR
Questions? Comments? Contact us.
© Copyright 1998 LWR, ThinkQuest team 17119. All rights reserved.