| Home | Light
Version Normal Version |
Search | BBS | Guest Book | Site Map | Help | Contact us | About us |
|
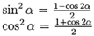
4. Understanding the formulas--Page 3In order to understand formulas very well, we should also know the relationships between some formulas. For example, we get the Sum and Difference formulas from the definitions of trigonometric functions. From Sum formulas, let
we get Half-Angle formulas:
In fact the relationship of
are very useful. Also we know:
by adding these two formulas, we can get:
Let
After substituting x and y by
From (1) divide by 2 on both sides, we have the Product-to-Sum formula:
|
|||||||
![]() |

Questions? Comments? Contact
us.
© Copyright 1998 LWR, ThinkQuest team
17119. All rights reserved.