| Home | Light
Version Normal Version |
Search | BBS | Guest Book | Site Map | Help | Contact us | About us |
|
4. Understanding the formulas--Page 4Using the Sum and Difference formulas, we can easily get the Derived formulas.
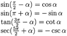
Here T can be any trigonometric functions, and co-T is the co-function of function T. For example, sine and cosine are co-functions of each other, similarly tangent and cotangent, secant and cosecant respectively. For example
and so on, all of such formulas can proved by the Sum and Difference formulas:
since
since |
|||
![]() |

Questions? Comments? Contact
us.
© Copyright 1998 LWR, ThinkQuest team
17119. All rights reserved.